对比 单向链表结构,双向链表多了一个指针 tail,它是指向最后一个结点,通过最后一个结点也可以向前遍历每个元素。
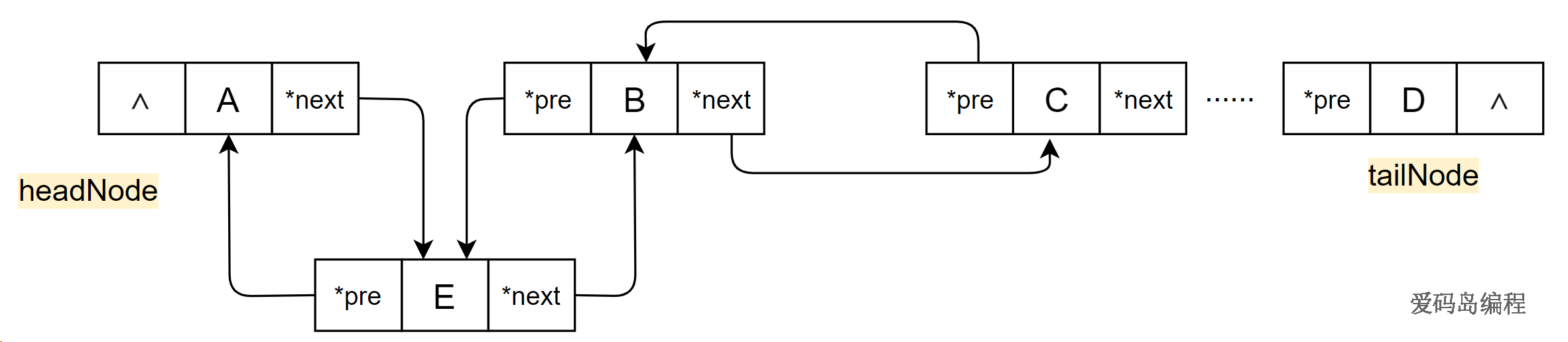
A、B、C、D四个结点的双向链表:

双向链表,每个结点中除了表示数据的data属性,还有指向前驱(pre)和后继(next)的指针。
struct Node{
char data;
Node *pre;
Node *next;
};
一、遍历结点
从链表头开始,依次向后遍历(查找)即可。
Node *cur = &A; //head(头)结点开始
while(cur) {
print(cur->data);
cur = cur->next;//依次向后
}
从链表尾开始,倒序遍历
Node *cur = &D; //tail(尾)结点开始
while(cur) {
print(cur->data);
cur = cur->pre; //依次向前
}
二、插入结点
给定一个双向链表:在位置 i 的后面插入一个值为 data 的结点(或者在指定的结点后面插入)。
如在A的结点后面插入结点E:

-
新结点 E
-
E->next = A->next;
-
E->pre = A;
-
A->next->pre = E;
-
A->next = E;
先完成结点E的后继和前驱;再完成原有链表结点的插入;
Node *pa = &A;
Node E = {'E'};
Node *pe = &E;
//E结点后继和前驱
pe->next = pa->next;
pe->pre = pa;
//插入E结点
pa->next->pre = pe;
pa->next = pe;
三、删除结点
一个链表 i 位置的结点删除并且返回被删除的结点的值(或者在指定的结点后面删除)。

关注两条虚线,B会被free掉,所以B的pre和next不用管。
-
Node *del = A->next
-
del->next->pre = A;
-
A->next = del->next;
Node *pa = &A;
Node *del = pa->next;
del->next->pre = pa;
pa->next = del->next;
print(del->data);
//free(del)